Металлодетектор конвейерный METALLAR MDC-1050
Конвейерный металлодетектор – это оборудование, которое помогает избавить сырье и готовую продукцию от металлических частиц. Данный вариант исполнения представляет собой металлодетекторную рамку, смонтированную вместе с конвейерной лентой и различными конструктивными элементами на несущей раме. При необходимости, возможно испытание с конкретным продуктом заказчика на тестовой площадке.
Использование металлодетектора в системе контроля качества продукции обеспечивает:
– выполнение требований безопасности закупающих продукцию организаций-партнеров;
– защиту репутации торговой марки и компании;
– предотвращение жалоб и отзыва продукции;
– практическое отсутствие затрат на урегулирование ситуаций, связанных с обнаружением потребителем металлических включений в продукции.
Принцип действия металлодетектора основан на регистрации изменения параметров внешнего магнитного поля в контролируемой области пространства при горизонтальном перемещении в нем различной продукции.
При обнаружении посторонних включений конвейерный металлодетектор подает световой и звуковой сигнал для привлечения внимания оператора и останавливает конвейерную ленту или убирает бракованную продукцию с ленты автоматически.
Возможность установки различных систем для удаления забракованного продукта без остановки конвейерной ленты (удаление продукта поворотным или выдвижным толкателем, наклонной пластиной, потоком воздуха, опусканием или раздвижением стола и др.) доступна опционально. Это позволяет сократить время простоя оборудования (исключив участие оператора по ручной отбраковке и повторному запуску оборудования), повысив степень автоматизации и удобство эксплуатации.
Также опционально материал изготовления транспортерной ленты (пищевой ПВХ) возможно заменить на полиуретан, обладающим большей износостойкостью и экологичностью.
Оригинальное программное обеспечение позволяет программировать необходимое время задержки срабатывания сигнала при обнаружении металлических включений, а также время задержки срабатывания системы отбраковки, удаляющей загрязненный продукт с ленты. Это позволяет гибко настраивать оборудование для различной скорости конвейерной ленты, геометрии и веса продукта.
Наличие фотоэлектрического датчика позволяет подсчитать: 1) общее количество продукта, прошедшего через рамку детектора, 2) количество отбракованных упаковок продукта, содержащих металлические включения.
Поставляется с тестовыми образцами-шариками из железа, цветного металла и нержавеющей стали, которые позволяют проверять чувствительность и настраивать оборудование для различных режимов работы.
Колеса и выдвижные ножки позволяют легко и просто перемещать машину с места на место и регулировать высоту конвейера при сопряжении его с другим оборудованием.
Оборудование может быть изготовлено по индивидуальному техническому заданию клиента, что гарантирует максимальное удовлетворение его потребностей.
Использование металлодетектора в системе контроля качества продукции обеспечивает:
– выполнение требований безопасности закупающих продукцию организаций-партнеров;
– защиту репутации торговой марки и компании;
– предотвращение жалоб и отзыва продукции;
– практическое отсутствие затрат на урегулирование ситуаций, связанных с обнаружением потребителем металлических включений в продукции.
Принцип действия металлодетектора основан на регистрации изменения параметров внешнего магнитного поля в контролируемой области пространства при горизонтальном перемещении в нем различной продукции.
При обнаружении посторонних включений конвейерный металлодетектор подает световой и звуковой сигнал для привлечения внимания оператора и останавливает конвейерную ленту или убирает бракованную продукцию с ленты автоматически.
Возможность установки различных систем для удаления забракованного продукта без остановки конвейерной ленты (удаление продукта поворотным или выдвижным толкателем, наклонной пластиной, потоком воздуха, опусканием или раздвижением стола и др.) доступна опционально. Это позволяет сократить время простоя оборудования (исключив участие оператора по ручной отбраковке и повторному запуску оборудования), повысив степень автоматизации и удобство эксплуатации.
Также опционально материал изготовления транспортерной ленты (пищевой ПВХ) возможно заменить на полиуретан, обладающим большей износостойкостью и экологичностью.
Оригинальное программное обеспечение позволяет программировать необходимое время задержки срабатывания сигнала при обнаружении металлических включений, а также время задержки срабатывания системы отбраковки, удаляющей загрязненный продукт с ленты. Это позволяет гибко настраивать оборудование для различной скорости конвейерной ленты, геометрии и веса продукта.
Наличие фотоэлектрического датчика позволяет подсчитать: 1) общее количество продукта, прошедшего через рамку детектора, 2) количество отбракованных упаковок продукта, содержащих металлические включения.
Поставляется с тестовыми образцами-шариками из железа, цветного металла и нержавеющей стали, которые позволяют проверять чувствительность и настраивать оборудование для различных режимов работы.
Колеса и выдвижные ножки позволяют легко и просто перемещать машину с места на место и регулировать высоту конвейера при сопряжении его с другим оборудованием.
Оборудование может быть изготовлено по индивидуальному техническому заданию клиента, что гарантирует максимальное удовлетворение его потребностей.
Подробнее
Документы
Листовка на METALLAR MDC
Размер:
2 мб
Тип отбраковщика
Размер:
257,4 кб
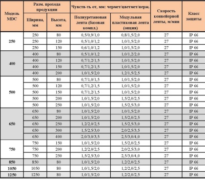
Характеристики Металлодетекторов
Размер:
90,2 кб
Отзыв о металлодетекторе METALLAR MDC
Размер:
169,1 кб
Описание
Характеристики
|
Тип оборудования
|
конвейерный |
|
Панель управления
|
цифровая (опционально сенсорная) |
|
Ширина прохода, мм
|
850 |
|
Ширина транспортерной ленты, мм
|
820 |
|
Высота прохода, мм
|
150-250 |
|
Чувствительность на черный металл (диаметр шара), мм
|
от 1,0 (зависит от выбора модификации) |
|
Чувствительность на цветной металл (диаметр шара), мм
|
от 1,5 (зависит от выбора модификации) |
|
Чувствительность на нержавеющию сталь (диаметр шара), мм
|
от 2,0 (зависит от выбора модификации) |
|
Система отбраковки
|
опционально |
|
Скорость конвейерной ленты, м/мин
|
27 |
|
Регулирование скорости ленты
|
опционально |
|
Материал конвейерной ленты
|
полиуритан (опционально модульная пластиковая) |
|
Материал корпуса
|
нержавеющая сталь |
|
Класс защиты
|
IP 65 |
|
Напряжение сети, В
|
220 |
|
Гарантия, мес
|
12 |
Видео
Задать вопрос
Отзывы
Новости
Все новости
8 октября 2025
Danler на Агропродмаш 2025
19 августа 2025
Посмотрите оборудование DANLER на выставке «Агропродмаш-2025»
14 апреля 2025
Оборудование Porlanmaz на Modern Bakery 2025






